 
													Z test formula for two samples. The number of degrees of freedom for the problem is the smaller of n 1 1 and n 2 1. As part of the test the tool also validate the tests assumptions compares the sample data to the standard deviation checks data for normality and draws a histogram and a distribution chart. The two samples have means of 10 and 12 standard deviations of 12 and 14 and sample sizes of 17 and 15.
Z x m o the formula for z test statistics for a sample is derived by using the following steps. Chosen for the test the data is collected and a z statistic is generated using the formula. The amount of a certain trace element in blood is known to vary with a standard deviation of 141 ppm parts per.
It checks if the difference between the means of two groups is statistically significance based on sample averages and known standard deviations. 1 2 1 2 1 1 n n x x z. A z test for two means is a hypothesis test that attempts to make a claim about the population means mu1 and mu2.
Finally the z test statistics is computed by deducting population mean from the variable and then the result is divided by the population standard deviation as shown below. Two sample z tests assuming equal variance. For each significance level in the confidence interval the z test has a single critical value for example 196 for 5 two tailed which makes it more convenient than the students t test whose.
More specifically we are interested in assessing whether or not it is reasonable to claim that the two population means the population means. In that case he can use a z test statistics method to obtain the results by taking a sample size say 500 from the city out of which suppose 280 are tea drinkers. The z test for two means.
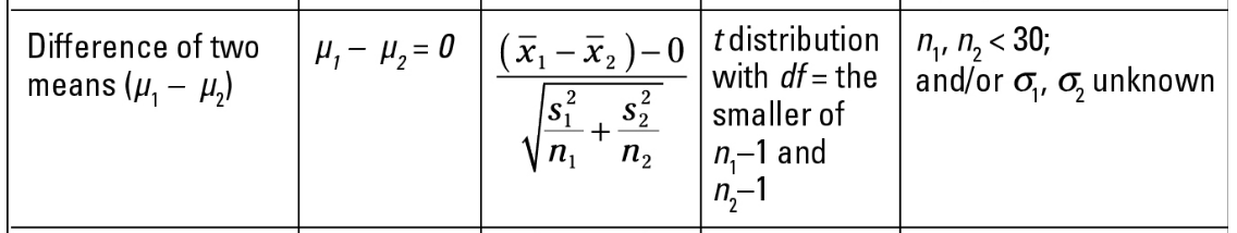
Firstly calculate the sample mean and sample standard deviation. T test formula example 2. Where and are the means of the two samples d is the hypothesized difference between the population means 0 if testing for equal means s 1 and s 2 are the standard deviations of the two samples and n 1 and n 2 are the sizes of the two samples.
Suppose we want to know if there is a difference in the proportion of residents who support a certain law in county a compared to the proportion who support the law in county b. More about the z test for two means so you can better use the results delivered by this solver. Population standard deviation step 2.
Let us take the example of two samples to illustrate the concept of a two sample t test. Z test statistics formula example 1. Where and are the means of the two samples d is the hypothesized difference between the population means 0 if testing for equal means s 1 and s 2 are the standard deviations of the two populations and n 1 and n 2 are the sizes of the two samples.
Specific to the two sample z test assuming known and equal variance. To test this will perform a two proportion z test at significance level a 005 using the following steps. You can examine the sections below to.
The z test uses a normal distribution.