 
													Z score formula for sample. If we analyze the data the highest z score value is 2082778 which is the z score value of nick brown who has achieved the highest score in the exam. The z score is a linear combination of four or five common business ratios weighted by coefficients. The smallest z score value is 098521 which is the lowest z score value of adrian steve who has achieved the lowest score in the exam.
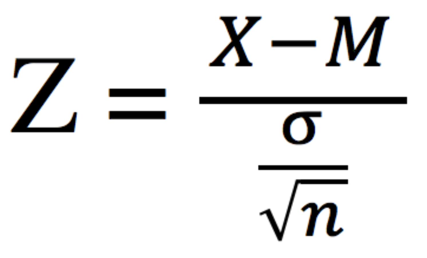
Z dfracoverlinex mudfracsigmasqrtn in these z score formulas. X mean standard deviation. The coefficients were estimated by identifying a set of firms which had declared bankruptcy and then collecting a matched sample of firms which had survived with matching by industry and approximate size assets.
Calculation of students z score for second quiz. Z scores can be both positive and negative numbers. Since z score of second quiz is better than that of first quiz.
Formula for z score is given below. Z x m s where m is the population mean and s is the population standard deviation. There are an infinite number of normal distributionsthere is a single standard normal distributionthe goal of calculating a z score is to relate a particular normal distribution to the standard normal distribution.
Z score x x s 80 70 15 0667. Now to calculate the z score type the following formula in an empty cell. Mean x 54 population standard deviation 12.
The standard normal distribution has been well studied and there are tables that provide areas underneath the curve which we can then use for applications. There can be positive and negative values in z scores. Z dfracx musigma when calculating the z score of a sample with known population standard deviation.
Altman applied the statistical method of discriminant analysis to. X is a raw data point. For example if the range of scores in your sample begin at cell a1 and end at cell a20 the formula stdevs a1a20 returns the standard deviation of those numbers.
A negative z score indicates that the data point is less than the mean and a positive z score indicates the data point in question is larger than the mean. X is the sample mean. Standardized random variable x 75.
Reason for z scores. When calculating the z score of a single data point x. Z score calculator p value from z table left tail right tail two tail formulas work with steps step by step calculation real world and practice problems to learn how to find standard score for any raw value of x in the normal distributionit also shows how to calculate the p value from the z table to find the probability of x in the normal distribution.
A z score in excel can quickly be calculated using a basic formula. The formula for calculating a z score is. The formula produces a z score on the standard bell curve.