Formula 1

Tj Formula

2

Solved A Rocket Can Be Modeled Using The Following Formul Chegg Com
www.chegg.com

T J Clark Original Formula Colloidal Minerals 32 Fl Oz 755875456710 Ebay
www.ebay.com

Sktn 2123 Strength Of Materials Torsion Ppt Download
slideplayer.com

Solved Give The Structurethat Corresponds To The Followin Chegg Com
www.chegg.com

Answered B R T Ti In Sin T J 0 T T Bartleby
www.bartleby.com

1 2 returns 3 6 3 returns 2.

Tj formula. T r da r t r 2 c t max da t. Business solutions business solutions business solutions. 500 pairs produce one chick per pair per year.

What is a formula. Discover a stylish selection of the latest brand name and designer fashions all at a great value. T formula in trigonometry the t formula can change trigonometric functions into half angles and may be described as follows.

Graham is a chauvinistic womanizer who thinks the key to finding. The t test is any statistical hypothesis test in which the test statistic follows a students t distribution under the null hypothesis. These tj formula womens sneakers are a rare unique patented pair created for the 25th anniversary of tj collection.

It is also the energy dissipated as heat when an electric. A formula in excel is an expression that returns a specific result. At our company we turn the digital dreams of our clients into a reality.

It can be used to determine if two sets of data are significantly different from each other and is most commonly applied when the test statistic would follow a normal distribution if the value of a scaling term in the test statistic were known. It is equal to the energy transferred to or work done on an object when a force of one newton acts on that object in the direction of the forces motion through a distance of one metre 1 newton metre or nm. They are created using seamless technology crafted from water resistant textiles with a burgundy military print.

Now we know j. Figure out how many penguins there will be at the end of seven years. Quinn is a hopeless romantic who falls head over heels for a young student teacher.

Directed by thomas beecher joe clarke. The joule d a l d u l jowl jool. Bring your ideas to life.

All formulas in excel must begin with an equals sign. The formula is the story of quinn and graham two engineering students who discover a mathematical formula to pick up women with ease. We want to find the maximum shear stress t max which occurs in a circular shaft of radius c due to the application of a torque t.

That means results wont change unless you edit the formula again and. In the examples above values are hardcoded. Let then the t formula is very helpful in solving trigonometric equations by changing them to algebraic equations in t.

J is a derived unit of energy in the international system of units. At the end of each year there is a loss of 20 of the total population. Develop a formula that solves the problem.

You have a population of 1000 penguins. With brandon baker mike schminke sasha jackson reginald veljohnson. The soft leather foot bed ensures your feet stay in the right position for extra comfort while walking.

T J Clark Legendary Colloidal Mineral F Buy Online In Cayman Islands At Desertcart
cayman.desertcart.com

Amazon Com Tj Clark S Black Label Formula 12 Ultra Concentrated Colloidal Mineral Formula 1 Fl Oz Sublingual Dropper Health Personal Care
www.amazon.com

The Ingredients In The Orento Tj 120 Formula Download Table
www.researchgate.net

Plumeran Alkaloids And Glycosides From The Seeds Of Aspidosperma Pyrifolium Mart
www.scielo.br

Sktn 2123 Strength Of Materials Torsion Ppt Download
slideplayer.com

Plumeran Alkaloids And Glycosides From The Seeds Of Aspidosperma Pyrifolium Mart
www.scielo.br

T J Clark Colloidal Mineral Formula 500ml Health Nuts Australia
healthnutsaustralia.com.au

Thermal Calculation Example For A Simple Electronic Component Math Encounters Blog
www.mathscinotes.com

Amazon Com T J Clark Legendary Colloidal Mineral Formula 32 Fl Oz 2 Pack By T J Clark Health Personal Care
www.amazon.com

Solved Us Green S Theorem Area Formula To Find The Areas Chegg Com
www.chegg.com

2

Copyright C Cengage Learning All Rights Reserved Ppt Video Online Download
slideplayer.com

Chapter Objectives Discuss Effects Of Applying Torsional Loading To A Long Straight Member Determine Stress Distribution Within The Member Under Torsional Ppt Video Online Download
slideplayer.com

Resolved Adc32rf80 Junction Temp Tj Rf Microwave Forum Rf Microwave Ti E2e Support Forums
e2e.ti.com

Solved Using Euler S Formula E J Omega T Cos Omega T Chegg Com
www.chegg.com

Buy Tj Clark Zinc Liquid Formula Online 200ml
www.mynaturalhealth.com.au

2 A Dragon Is Flying Around In A Pattern Given By The Parametric Curve R T Cos T Cos Sin T Sin T Cos T J Cos T Cos Sin T Sin T Cos T J A Find A Formula For The Velocity Of
www.homeworklib.com

The Ingredients In The Kakkonto Tj 1 Formula Download Table
www.researchgate.net

Chapter Objectives Discuss Effects Of Applying Torsional Loading To A Long Straight Member Determine Stress Distribution Within The Member Under Torsional Ppt Video Online Download
slideplayer.com

3 Torsion Mechanics Of Materials 4th Beer
www.slideshare.net

Zinc Sulfate Liquid Formula 15mg 8 Fl Oz 1 Bottle Buy Online In Luxembourg T J Clark Products In Luxembourg See Prices Reviews And Free Delivery Over 60 00 Desertcart
luxembourg.desertcart.com

2

Ep0024587a1 Propenylamines Processes For Their Production Pharmaceutical Compositions Containing Them And Their Use As Pharmaceuticals Google Patents
patents.google.com

Junction Temperature Calculating Transistor Chip Temperature Electronics Basics Rohm
www.rohm.com

Find The Unit Tangent Vector To The Curve At The Specified Value Of The Parameter R T 6 Cos Ti 2 Sin Tj T P 3 Homework Help And Answers Slader
www.slader.com

The Ingredients In The Kakkonto Tj 1 Formula Download Table
www.researchgate.net

Ep0215979a1 Method Of Testing The Insulation Condition Of An Electric Machine Google Patents
patents.google.com

Pdf Using Matrix Stability For Variable Telegraph Partial Differential Equation
www.researchgate.net

Amazon Com Vitamin B2 Liquid Formula 8 Fl Oz 3 Pack By T J Clark Health Personal Care
www.amazon.com

Chapter Objectives Discuss Effects Of Applying Torsional Loading To A Long Straight Member Determine Stress Distribution Within The Member Under Torsional Ppt Video Online Download
slideplayer.com

Oneclass Give The Structure That Corresponds To The Following Molecular Formula And 1h Nmr Spectrum
oneclass.com

I Framework
www.ipss.go.jp

Pdf Intial Boundary Value Problem For The Linearized Kdv Equation On Simple Metric Star Graph
www.researchgate.net

T J Clark Glucosamine Chondroitin And Msm Liquid Health 2000
www.health2000.co.nz

Solved When A Particle Moves Along A Parameter Curve R T Chegg Com
www.chegg.com

Pdf Quadratic Formulas For Quaternions
www.researchgate.net

Solved R T Xr T Use The Formula B T T T Xn T Chegg Com
www.chegg.com

I Framework
www.ipss.go.jp

Solved Deduce The Structure Of An Unknown Compound Using Chegg Com
www.chegg.com

2

Http Citeseerx Ist Psu Edu Viewdoc Download Doi 10 1 1 583 7794 Rep Rep1 Type Pdf

Ep0531228a1 Thiourea Derivatives Antimicrobial Agent And Antiulcer Agent Containing The Same Google Patents
patents.google.com

T J Clark Legendary Colloidal Mineral F Buy Online In Suriname At Desertcart
suriname.desertcart.com

Engineering Science Lesson 7
www.slideshare.net

Https Encrypted Tbn0 Gstatic Com Images Q Tbn 3aand9gcqgiajlplxqmnmfgj6pmsvkq 736jsex8zlzntpp1svoqpjtmg Usqp Cau
encrypted-tbn0.gstatic.com

Example 1 6 0 21 Find The Length Of The Arc O Chegg Com
www.chegg.com

Answered Radius Of Curvature Show That The Bartleby
www.bartleby.com

Taking Our Legendary T J Clark Mineral T J Clark Minerals Europe
www.facebook.com

Answered 46 Limits Of Cross Products Of Vector Bartleby
www.bartleby.com

Amazon Com Copper Sulfate Liquid Formula 8 Fl Oz By T J Clark Health Personal Care
www.amazon.com

2

Deduce The Structure Of An Unknown Compound Using The Data Below Molecular Formula C10h12o2 Ir 1690 Homeworklib
www.homeworklib.com

Tj Clark Colloidal Minerals Formula 200ml Healthy Being
www.healthybeing.com.au

2

Chapter 5 Torsion Ppt Download
slideplayer.com

Msm Liquid Supplement Enhanced Formula Tj Clark
tjclark.com

Two Dimensional Distribution Dq X I T J A A See Formula 11 In Sv Download Scientific Diagram
www.researchgate.net

12 Market Libor Models Pdf Free Download
docplayer.net

Continuously Compound Forward Rate Formula Quantitative Finance Stack Exchange
quant.stackexchange.com

2

Tj Clark Legendary Colloidal Mineral Formula 32 Fl Oz One Stoppe Shoppe
onestoppeshoppe.com

Sa1 01 Torsion 40 55 58 61 62
www.slideshare.net

Br Pi0509986 A Composto Composicao Farmaceutica E Agente Mono Terapeutico Ou Agente Terapeutico Em Combinacao The Lens Free Open Patent And Scholarly Search
www.lens.org

Https Encrypted Tbn0 Gstatic Com Images Q Tbn 3aand9gct0vutur Igfqmmppjgxdajsustnjplbm0o965kkdbiwbd 28oh Usqp Cau
encrypted-tbn0.gstatic.com

Tetramethoxypropane C7h16o4 Chemspider
www.chemspider.com

Solved Ve The Structure That Corresponds To The Following Chegg Com
www.chegg.com

Formula For Torque Transmitted By A Solid Circular Shaft Strength Of Materials Mos Youtube
www.youtube.com

Proof Of A Convexity Property Of The Erlang B Formula Messerli 1972 Bell System Technical Journal Wiley Online Library
onlinelibrary.wiley.com

Give The Structure That Corresponds To The Following Molecular Formula And 1h Nmr Spectrum C7h12cl2 948 Homeworklib
www.homeworklib.com

Engineering Council Certificate Level Engineering Science C103 Tutorial 3 Torsion Pdf Free Download
docplayer.net

Skachaj Mobilnoe Prilozhenie Ot Formuly Formula 55 Uzbekistan Facebook
www.facebook.com

Prove The Following Formula T J 1 Create An Exam Chegg Com
www.chegg.com

1
encrypted-tbn0.gstatic.com

Torsional Diagram
www.slideshare.net

Chapter 5 Torsion Ppt Download
slideplayer.com

Calc 501 1000 By James Bardo Issuu
issuu.com

Torsionbinormalnotes
www.slideshare.net

Pseudo Polynomial Time Algorithm The Concept And The Terminology Are Important
studylib.net

Liquid Male Potency Enhancement Supplement Tj Clark
tjclark.com

Formula For A Left Censored Migration Process The Starting Recency
claree.univ-lille1.fr

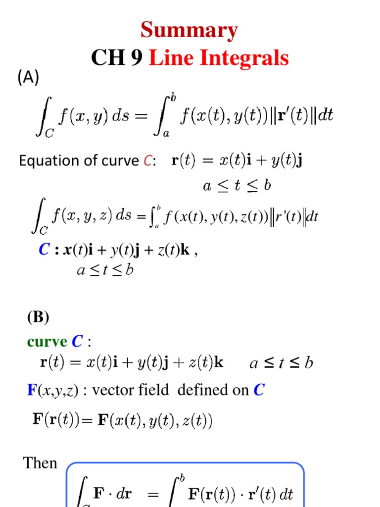
Line Integrals Equation Of Curve Vector Space Linear Algebra
www.scribd.com

Http Www Ams Sunysb Edu Jiao Teaching Ams261 Fall12 Lectures Larcalc9 Ch12 Pdf

T J Clark Original Formula Colloidal Minerals 32 Ounces Made By Tj Clark
www.betterlife.com

Real Part Of S 1 S M 1 T As A Function Of M For T J 0 05 H J Download Scientific Diagram
www.researchgate.net

Exploring Horizontal Parsing Tj In Pdf Detail Understanding Of Tx Formula Stack Overflow
stackoverflow.com

Confluence Mobile Knowledgebase
kb.hilscher.com

Answered In Exercises 3 6 Write A In The Form A Bartleby
www.bartleby.com

Solved 1 Compute The Line Integral F Dr Where The Vect Chegg Com
www.chegg.com

2

Chapter Objectives Discuss Effects Of Applying Torsional Loading To A Long Straight Member Determine Stress Distribution Within The Member Under Torsional Ppt Video Online Download
slideplayer.com

T J Clark Legendary Phytogenic Colloidal Minerals Formula Earthy Living
www.earthyliving.com.au

Knowing The Equation To Calculate The Time Required For 50 Germination T50 I Want To Know Exactly What You Tj Ni And Nj Mean In The Equation
www.researchgate.net

13 3 Arc Length And Curvature
studylib.net

2 The Formula For Entropy Is Given By Entropy T Chegg Com
www.chegg.com

Pdf A Specific Synbiotic Containing Amino Acid Based Formula In Dietary Management Of Cow S Milk Allergy A Randomized Controlled Trial
www.researchgate.net

T J Clark Colloidal Minerals And Supplements Posts Facebook
www.facebook.com

Torsionbinormalnotes
www.slideshare.net

close