 
													Tan inverse x formula differentiation. If x sin 1 02588 then by using the calculator x 150. Here you have inve. All derivatives of circular trigonometric functions can be found from those of sinx and cosx by means of the quotient rule applied to functions such as tanx sinxcosx.
Sin 1 x means find the angle whose sine equals x. There is a cardinal rule to do these types of integrals. The derivative or the differentiation of the inverse tan function with respect to x is written in calculus in the following two mathematical forms.
The domains of the other trigonometric functions are restricted appropriately so that they become one to one functions and their inverse can be determined. Let x represents a variable. Derivative of inverse tangent.
You have to use the ilatelaite rule which stands for inverse logarithm algebraic trigonometry exponential. Thanks a2a the question is integration of tan 1x. Let fx tan 1 x then.
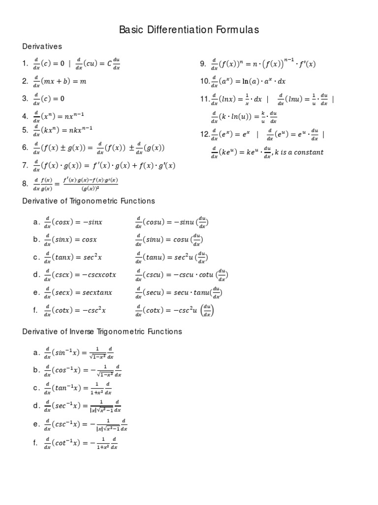
X or arctan. The derivatives of the inverse trigonometric functions can be obtained using the inverse function theorem. A differentiation formulas list has been provided here for students so that they can refer to these to solve problems based on differential equations.
The notations sin 1 x cos 1 x tan 1 x etc as introduced by john herschel in 1813 are often used as well in english language sources conventions consistent with the notation of an inverse function. Derivatives of the inverse trigonometric functions. This is one of the most important topics in higher class mathematics.
In order to verify the differentiation formula for the arcsine function let us set y arcsinx. Derivatives of inverse trigonometric functions. This formula list includes derivative for constant trigonometric functions polynomials hyperbolic logarithmic.
The first step is to use the fact that the arcsine function is the inverse of the sine function. The inverse tangent function is written as tan 1. Recall from when we first met inverse trigonometric functions.
Ftanxsec2x 1 ftanx 1sec2x but we know sec2a 1 tan2a from trigonometric identities so sec2x 1 tan2x so ftanx 11 tan2x now put tanx x then fx 11 x2 hence differentiation of tan 1x is 11 x2. The general representation of the derivative is ddx. For example the sine function x.
X in inverse trigonometry. Ftanx x now differentiate both sides with respect to x.
 
					
						Differentiate Tan 1 1 X2 1 2 X Wrt Cos 1 2x 1 X2 1 2 When X 0 Explain In Great Detail Mathematics Topperlearning Com Hpg5zbkk
						
						www.topperlearning.com