Sin a cos b formula. Sin cos formulas are based on sides of the right angled triangle. A2a this question basically involves sum to product conversion. Their usual abbreviations are sino coso and tano respectively where o denotes the angle.
Using the same construction 1 notice that the adjacent side is the full base line for cos a with part of it subtracted at the right. Since these identities are proved directly from geometry the student is not normally required to master the proof. Sine of angle is equal to the ratio of opposite side and hypotenuse whereas cosine of an angle is equal to ratio of adjacent side and hypotenuse.
However all the identities that follow are based on these sum and. But in the cosine formulas on the left becomes on the right. In the sine formulas or on the left is also or on the right.
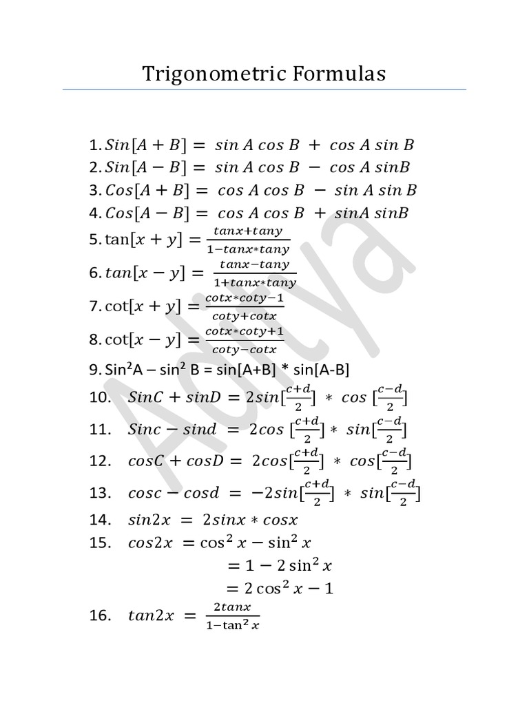
Formula sheet math 1060 004 trigonometry the following formulas will be provided on the final test. Sin and cos are basic trigonometric functions along with tan function in trigonometry. Sum and product formulae cosa cosb 2cos a b 2 cos a b 2 13 cosa cosb 2sin a b 2 sin a b 2 14 sina sinb 2sin a b 2 cos a b 2 15 sina sinb 2cos a b 2 sin a b 2 16 note that 13 and 14 come from 4 and 5 to get 13 use 4 to expand cosa cosa b 2 2 and 5 to expand cosb cosab 2 2 and add the results.
Now we assume that ab 90 this is because the sum to product conversion is done when the sun involves two similar trigonometric identities as you can see from this thereforesin a. Sum and difference formula sina b sin acosbcos asinbsina b sin acosb cos asinbcosa b cos acosb sin asinbcosa b cos acosbsin asinbtana b tan atanb 1 tan atanb tana b tan a tanb 1tan atanb double angle formula.
 
					
						Kindly Solve If Cos 4 A Cos 2 B Sin 4 A Son 2 B 1 Then Prove That Cos 4 B Cos 2 A Sin 4 B Sin 2 A 1 Mathematics Topperlearning Com 0ymm2syy
						
						www.topperlearning.com