 
													I summation formulas. If we now add the terms along the vertical columns we obtain 2s n 1 n 1. Nn 4 1 sfl k sf2 proof. Use the sum function to add two or more cells.
Change 1234 to 12345 to sum the 5 largest numbers. A i is an indexed variable representing each term of the sum. The sum formula below uses sum and large to sum the largest numbers in a range.
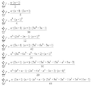
Here is my contribution with polynomials of order up to 10 in gif wmf formats and up to 100 in ascii text. X i represents the ith number in the set. Sumlimitsi i0n cai csumlimitsi i0n ai where c is any number.
Often mathematical formulae require the addition of many variables summation or sigma notation is a convenient and simple form of shorthand used to give a concise expression for a sum of the values of a variable. Binomial theorem xy n xn k0 n k. Type an equals sign the sum function and the numbers you are adding surrounded by parenthesis.
You always increase by one at each successive step. Sumyour numbers here or sumc4c5c6c7. Let x 1 x 2 x 3 x n denote a set of n numbers.
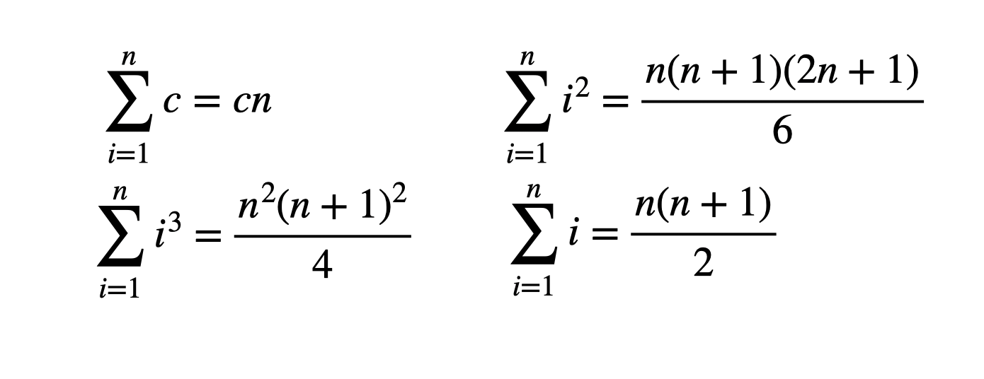
The index i is incremented by one for each successive term stopping when i n. We review some basic summation formulas and rules for calculating riemann sums. Largea1a112 simply returns the second largest number.
We first list the terms in the sum in increasing order whereas we list them in decreasing order the second time. Where i is the index of summation. Here are a couple of formulas for summation notation.
M is the lower bound of summation and n is the upper bound of summation. X ky integer n 0 binomial series x k a k. The i m under the summation symbol means that the index i starts out equal to m.
The number on top of the summation sign tells you the last number to plug into the given expression. Let us write this sum s twice. Geometric sum nx1 k0 ark a 1 rn 1 r r 6 1 geometric series x k0 ark a 1 r r 1 3.
Telescoping sum x akb fk fbfa integers a b. This formula will add together all numbers and cells within the parentheses. The sum formula below uses sum and iferror to sum a range with errors.
Sum range with errors. The i part underneath the summation sign tells you which number to first plug into the given expression. Xk 1xa x 1 if a 6 integer n 0.
3 6 11 18. So we can factor constants out of a summation. In the case of sfl let s denote the sum of the integers 1 2 3 n.
 
					
						Table 1 From A Physicist S Guide To Explicit Summation Formulas Involving Zeros Of Bessel Functions And Related Spectral Sums Semantic Scholar
						
						www.semanticscholar.org