 
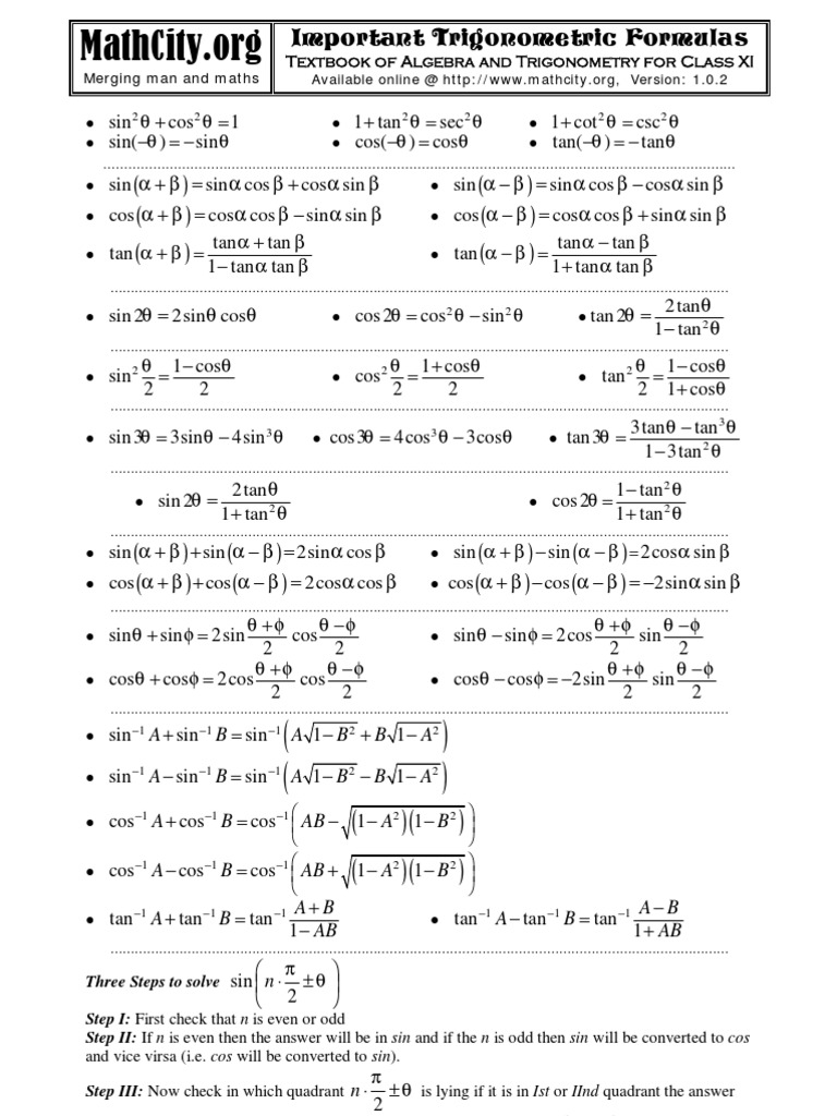
													Formula trigonometry table class 11. All trigonometry formulas list most trigonometry formulas revolve around ratios and extremely handy to solve complex problems in trigonometry. This contains a list all the trigonometry formulas for class 11. As mentioned above the trigonometry table contains the values of trigonometric ratios sine cosine tangent cotangent secant and cosecant of standard angles.
The basic of any trigonometry formula is a trigonometry identity. They can find the trigonometry table along with inverse trigonometry formulas to solve the problems based on them. Log table and anti log table with the complete chapter of log for study.
Here is the list of formulas for class 11 students as per the ncert curriculum. Learning and memorizing these formulas will help the students of class 10 11 and 12 to score good marks in this concept. These formula include all trigonometric ratios trigonometric identities trigonometric sign rule quadrant rule and some of the value of the trigonometric function of specific degrees.
Trigonometry is the branch of mathematics that deals with the relationship between the sides and angles of a triangle. Download useful resources formulae log table basic formulae trigonometric formulae for class 11 12 trigonometric identities for higher education greek alphabets their comparison with english alphabets. List of class 11 trigonometry formulas.
The trigonometric table was the reason for most digital development to take place at this rate today as the first mechanical computing devices found application through careful use of trigonometry. Formula includes basic formulahalf angle sum and differences double angle trigonometrics identities. Cbse 11 notes cbse notes class 11 notes class 11th class 11th notes free notes.
Trigonometric identities are of great use in solving. For example if you are on the terrace of a tall building of known height and you see a post box on the other side of the road you can easily. Let us have a look at the table.
The trigonometric ratios table gives us the values of standard trigonometric angles such as 00 300 450 600 and 900. There are many interesting applications of trigonometry that one can try out in their day to day lives. In this section trigonometric formulas for class 10 11 12 is available.
Also check trigonometry for class 11 where students can learn notes as per the cbse syllabus and prepare for the exam. Trigonometric formula ratio and angle.
						Https Encrypted Tbn0 Gstatic Com Images Q Tbn 3aand9gcrbjzy7dacpxuak3r7odjuxahw Ckyv6ohn2wjl 1nxcwp E Dt Usqp Cau
						
						encrypted-tbn0.gstatic.com
					
						Https Ncerthelp Com Cbse 20notes Class 2011 Maths All 20formula 20and 20notes 20for 20trigonometry 20class 2011 20chapter 203 20trigonometric 20functions Pdf
						
						
					
 
					
						Cbse Class 11 Maths Notes Trigonometric Important Formulas Examples Aglasem Schools
						
						schools.aglasem.com