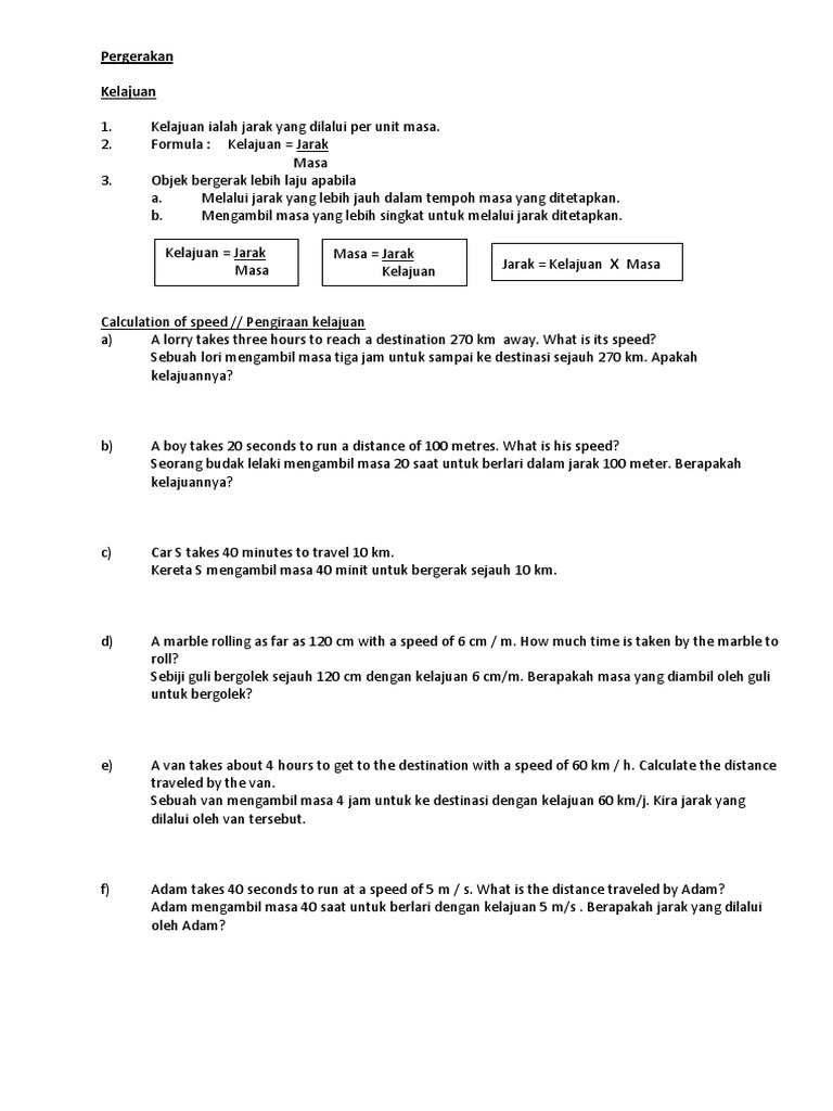
Formula kelajuan kmj. Kelajuan objek boleh dikira dengan menggunakan formula berikut. 21 klik 3. A lorry takes three hours to reach a destination of 240 km away.
Rujukan khas kepada semua guru guru dan pelajar terutamanya warga sklk besut terengganu. Masa t sec min h s m mm km v m s mm min km j. D i awal penciptaannya kereta tidak memiliki kelajuan hingga ratusan kmj.
Maka kelajuan peserta 2 cahaya ialah 300juta msec. 2018 kelajuaan nota ringkas sains science speed tahun 6 unit 7 upsr. Formula mengira jarak laju x masa jarak.
Kalkulator kelajuan masa jarak pengiraan dalam talian membolehkan untuk mengira kelajuan jarak dan masa yang diberikan dalam unit yang berbeza ukuran dan kelajuan jarak dan formula masa. Formula mengira laju jarak masa laju. Di sini 300000 km bahagi 1 km sama dengan 300000.
Alat yang digunakan untuk mengukur kelajuan speedometer. Sekiranya anda menukar pecahan menurut semua peraturan matematik mengurangkan jarak panjang parameter maka hanya kedua minit atau jam akan kekal. Jika jarak yang dilaluinya ialah 50 km kirakan laju purata motosikal encik amin.
Jika arah keseluruhannya lurus kelajuan purata dan kelajuan purata akan sama. The speed of an object can be calculated by using the following formula. Bahkan benz patent motorwagen yang merupakan kereta berkuasa petrol pertama di dunia hanya mampu mencapai kelajuan maksimum 16kmj.
Formula mengira masa jarak laju masa. 2 kemudian darabkan pula dengan nombor yang tinggal iaitu 300000 darab 1000 m sama dengan 300000000 m atau 300 juta meter. Speed kelajuan distance jarak.
Kelajuan v mach 1 batu sejam bsj inci sesaat ips kaki sesaat fts kelajuan cahaya di dalam vakum c kilometer sejam kmj kilometer sesaat kms knot meter sesaat ms sentimeter sesaat cms. Kilometre per hour kmh. Menurut sejarah terdapat individu pertama yang memandu kereta dan mencapai 100kmj.
 
					
						Kelajuan Dalam Fizik Adalah Formula Kelajuan Pendidikan Menengah Dan Sekolah 2020
						
						ms.sodiummedia.com
					
						Https Encrypted Tbn0 Gstatic Com Images Q Tbn 3aand9gcroktcmj3sqkutqoyrgcbqijmkbvtmtuuur Ky T50gunae9ieg Usqp Cau
						
						encrypted-tbn0.gstatic.com