 
													Effect size cohens d formula. S pooled pooled standard deviations for the two groups. Cohens d 2t df. For smaller sample sizes it tends to over inflate results.
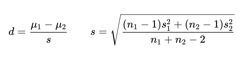
The formula looks like this navarro 2015. The d statistic redefines the difference in means as the number of standard deviations that separates those means. If the two groups have the same n then the effect size is simply calculated by subtracting the means and dividing the result by the pooled standard deviationthe resulting effect size is called d cohen and it represents the difference between the groups in terms of their common standard deviation.
Cohens f 2 is one of several effect size measures to use in the context of an f test for anova or multiple regression. A score of 50 means that the difference between the two groups is equivalent to one half of a standard deviation while a score of 10 means the difference is equal to one standard deviation. Glasss delta and hedges g.
Glasss delta which uses only the standard deviation of the control group is an alternative measure if each group has a different standard deviationhedges g which provides a measure of effect size weighted according to the relative size of. D fracmboxmean 1 mboxmean 2mboxstd dev. Its amount of bias overestimation of the effect size for the anova depends on the bias of its underlying measurement of variance explained eg r 2 h 2 w 2.
Cohens d is the appropriate effect size measure if two groups have similar standard deviations and are of the same size. Both are proportions of variance accounted for by the independent variable. I think cohens d is useful but i still prefer r 2 the squared point biserial correlationthe reason is that its in line with other effect size measures.
D m 1 m 2 s pooled. M 2 mean of group 2. If m 1 is bigger than m 2 your effect size will be positive.
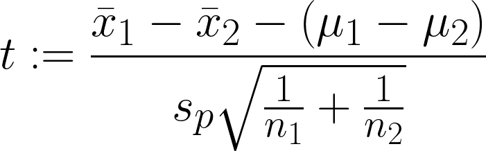
It is used f. The independent samples t test is a special case of anovaand if wed run it as an anova r 2 h 2 eta squared. Calculate the value of cohens d and the effect size correlation r y l using the t test value for a between subjects t test and the degrees of freedom.
The cohens d online calculator. The three indexes cohens d glasss d and hedges g convey information about the size of an effect in terms of standard deviation units. R y l t 2 t 2 df.
If you are still struggling to calculate d values by using the formula we have created a cohens d calculator. If the second mean is larger your effect size will be negative. The f 2 effect size measure for multiple regression is.
The sign of your cohens d depends on which sample means you label 1 and 2. M 1 mean of group 1. Putting this into a calculator comes out with a value of 1489.
For calculating the effect for pre post comparisons in single groups. S 1 2 s 2 2 2 cohens d works best for larger sample sizes 50. To use the calculator simply enter the group mean and standard deviation values and the d effect size will be calculated for you.
 
					
						The 20 Statistician Why You Should Use Omega Squared Instead Of Eta Squared
						
						daniellakens.blogspot.com
					
 
					
						Converting Between Effect Sizes Polanin 2016 Campbell Systematic Reviews Wiley Online Library
						
						onlinelibrary.wiley.com