 
													Delta y formula calculus. Epsilon e in calculus terms means a very small positive number. The epsilon delta definition tells us that. An access code gives you full access to the entire library of deltamath content and instructional videos.
Compare delta y and dy duration. The most beautiful equation in math duration. The y d transform also written wye delta and also known by many other names is a mathematical technique to simplify the analysis of an electrical networkthe name derives from the shapes of the circuit diagrams which look respectively like the letter y and the greek capital letter dthis circuit transformation theory was published by arthur edwin kennelly in 1899.
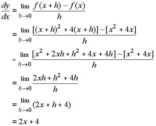
A relative delta compares the difference between two numbers a and b as a percentage of one of the numbers. While limits are an incredibly important part of calculus and hence much of higher mathematics rarely are limits evaluated using the definition. A teacher code is provided by your teacher and gives you free access to their assignments.
This is described by the following equation. The basic formula is a ba x100. Lower case d is used when calculating limits.
Science physics library one dimensional motion kinematic formulas and projectile motion what are the kinematic formulas. The greek letter delta d is commonly used in mathematics to mean difference or change. The epsilon delta definition of a limit is a precise method of evaluating the limit of a function.
Where fx is a function defined on an interval around x 0 the limit of fx as x approaches x 0 is l. The slope of a line in the plane containing the x and y axes is generally represented by the letter m and is defined as the change in the y coordinate divided by the corresponding change in the x coordinate between two distinct points on the line. Rather the techniques of.
Calculus 1 lesson 8.