 
													Cos x formula in terms of exponential. Eiy cosy isiny. In complex analysis the hyperbolic functions arise as the imaginary parts of sine and cosinethe hyperbolic sine and the hyperbolic cosine are. Trigonometry and complex exponentials amazingly trig functions can also be expressed back in terms of the complex exponential.
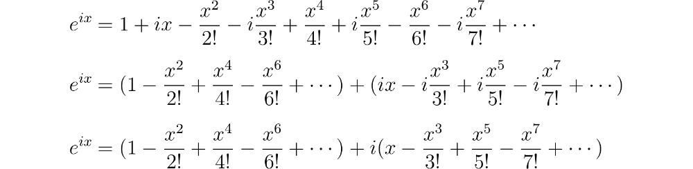
If you define the functions sin and cos as mathcos x dfraceixe ix2tag1math mathsin x dfraceix e ix2itag2math. The complex logarithm using polar coordinates and eulers formula allows us to dene the complex exponential as exiy exeiy11 which can be reversed for any non zero complex number written in polar form as eiby inspectionx ln. Relations between cosine sine and exponential functions 45 46 47 from these relations and the properties of exponential multiplication you can painlessly prove all sorts of trigonometric identities that were immensely painful to prove back in high school.
It means a is multiplied by itself x times. Displaystyle e ixcos xisin x. It can be veried that ez1z2 ez1ez2 another basic property of the exponential function.
X is the exponent in the exponential expression a x. A polynomial with an innite number of terms given by expx 1 x x2 2. This is very surprising.
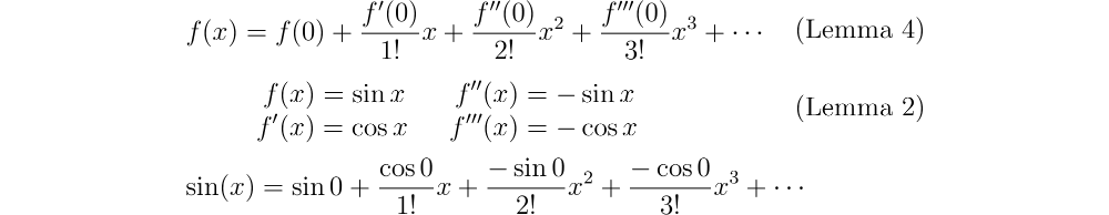
By the end of this course we will see that the exponential function can be represented as a power series ie. There are similar power series expansions for the sine and cosine given by cos 1 2. Eulers formula named after leonhard euler is a mathematical formula in complex analysis that establishes the fundamental relationship between the trigonometric functions and the complex exponential function.
The hyperbolic functions take a real argument called a hyperbolic anglethe size of a hyperbolic angle is twice the area of its hyperbolic sectorthe hyperbolic functions may be defined in terms of the legs of a right triangle covering this sector. Yto which we can also add any integer multiplying 2toyfor another solution. Logarithm an expression of the form log a x.
Eulers formula states that for any real number x.